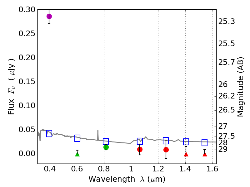
RXS0603+42-N IR detection object #5543

Color images and BPZ results
Catalog: 5543.cat
Black segments are analyzed here.   Roll mouse over color images to view segments.
Best viewed in a wide browser window (1200 pixels or more).   Download SED & P(z) plots to view larger versions.
In P(z) plots: Yellow lines mark the cluster redshift z = 0.228,  

Object #5543   x,y = (3705, 1696)   RA, Dec = (06:03:07.632, 42:14:59.28) = (90.78180, 42.24980)   BPZ = 1.701 [1.368--2.039]   type = 11.00 (SB11_A_0_l)   stellarity = 0.67   chisq2 = 63.89   ODDS = 0.64   z_cluster = 0.228