RXS0603+42-N IR detection object #5541

Color images and BPZ results
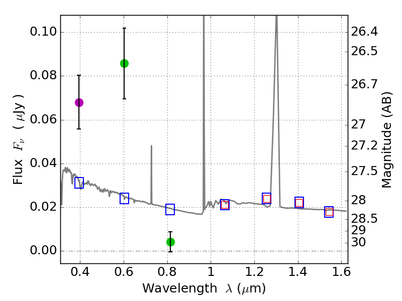
Catalog: 5541.cat
Black segments are analyzed here.   Roll mouse over color images to view segments.
Best viewed in a wide browser window (1200 pixels or more).   Download SED & P(z) plots to view larger versions.
In P(z) plots: Yellow lines mark the cluster redshift z = 0.228,  

Object #5541   x,y = (4227, 1757)   RA, Dec = (06:03:04.824, 42:15:03.24) = (90.77010, 42.25090)   BPZ = 1.596 [1.178--2.436]   type = 11.00 (SB11_A_0_l)   stellarity = 0.54   chisq2 = 31.97   ODDS = 0.27   z_cluster = 0.228