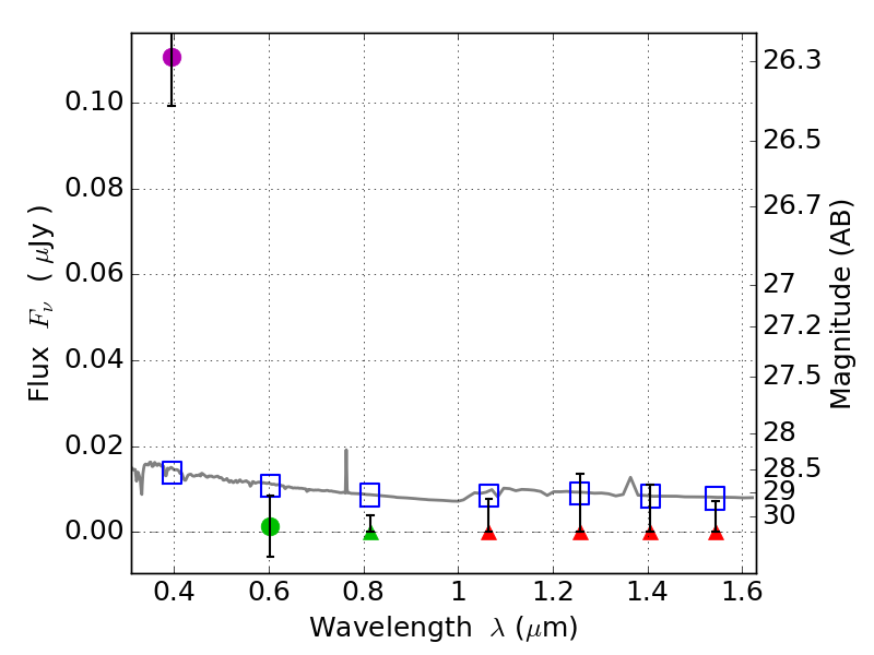
RXS0603+42-N IR detection object #5525

Color images and BPZ results
Catalog: 5525.cat
Black segments are analyzed here.   Roll mouse over color images to view segments.
Best viewed in a wide browser window (1200 pixels or more).   Download SED & P(z) plots to view larger versions.
In P(z) plots: Yellow lines mark the cluster redshift z = 0.228,  

Object #5525   x,y = (3746, 1703)   RA, Dec = (06:03:07.416, 42:15:00.00) = (90.78090, 42.25000)   BPZ = 1.732 [0.538--5.177]   type = 11.00 (SB11_A_0_l)   stellarity = 0.50   chisq2 = 19.91   ODDS = 0.22   z_cluster = 0.228