RXS0603+42-N IR detection object #5515

Color images and BPZ results
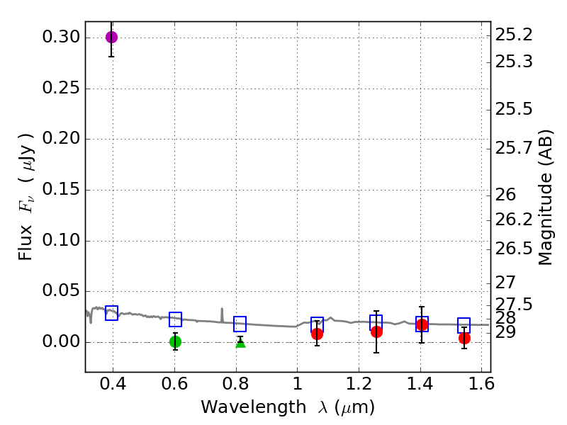
Catalog: 5515.cat
Black segments are analyzed here.   Roll mouse over color images to view segments.
Best viewed in a wide browser window (1200 pixels or more).   Download SED & P(z) plots to view larger versions.
In P(z) plots: Yellow lines mark the cluster redshift z = 0.228,  

Object #5515   x,y = (3858, 1706)   RA, Dec = (06:03:06.816, 42:15:00.00) = (90.77840, 42.25000)   BPZ = 1.698 [1.078--2.240]   type = 11.00 (SB11_A_0_l)   stellarity = 0.77   chisq2 = 51.98   ODDS = 0.43   z_cluster = 0.228