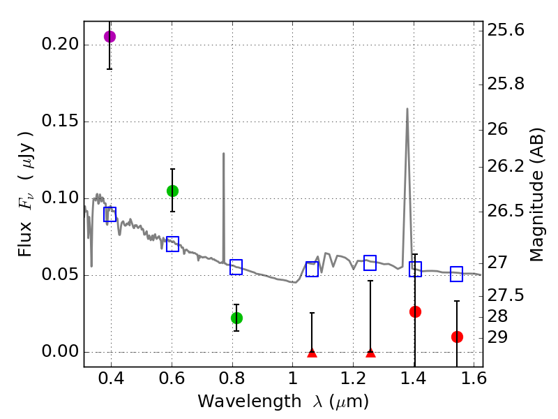
RXS0603+42-N IR detection object #5503

Color images and BPZ results
Catalog: 5503.cat
Black segments are analyzed here.   Roll mouse over color images to view segments.
Best viewed in a wide browser window (1200 pixels or more).   Download SED & P(z) plots to view larger versions.
In P(z) plots: Yellow lines mark the cluster redshift z = 0.228,  

Object #5503   x,y = (4073, 1679)   RA, Dec = (06:03:05.640, 42:14:58.56) = (90.77350, 42.24960)   BPZ = 1.763 [1.515--2.181]   type = 11.00 (SB11_A_0_l)   stellarity = 0.08   chisq2 = 12.81   ODDS = 0.51   z_cluster = 0.228