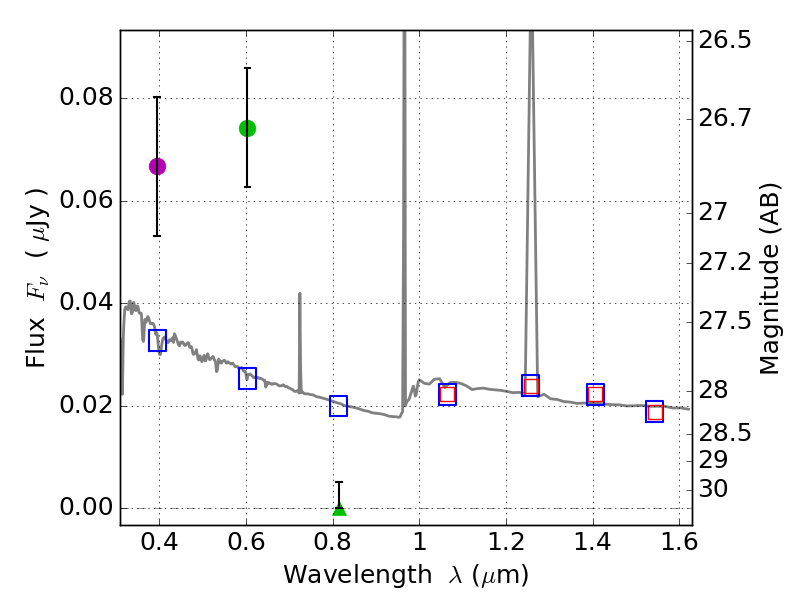
RXS0603+42-N IR detection object #550

Color images and BPZ results
Catalog: 550.cat
Black segments are analyzed here.   Roll mouse over color images to view segments.
Best viewed in a wide browser window (1200 pixels or more).   Download SED & P(z) plots to view larger versions.
In P(z) plots: Yellow lines mark the cluster redshift z = 0.228,  

Object #550   x,y = (2784, 3537)   RA, Dec = (06:03:12.624, 42:16:49.80) = (90.80260, 42.28050)   BPZ = 1.595 [1.158--2.468]   type = 11.00 (SB11_A_0_l)   stellarity = 0.06   chisq2 = 35.87   ODDS = 0.27   z_cluster = 0.228