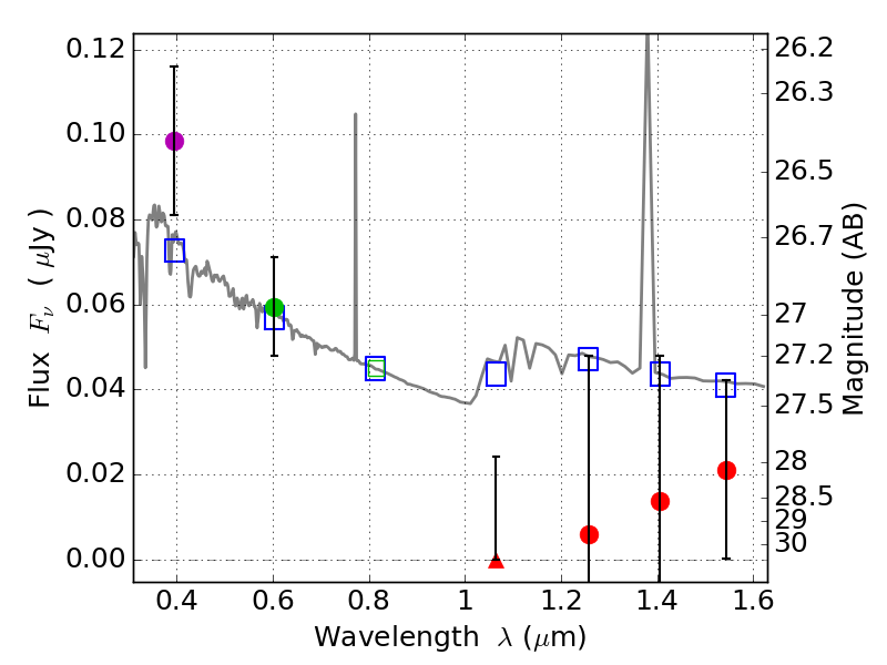
RXS0603+42-N IR detection object #5494

Color images and BPZ results
Catalog: 5494.cat
Black segments are analyzed here.   Roll mouse over color images to view segments.
Best viewed in a wide browser window (1200 pixels or more).   Download SED & P(z) plots to view larger versions.
In P(z) plots: Yellow lines mark the cluster redshift z = 0.228,  

Object #5494   x,y = (4095, 1658)   RA, Dec = (06:03:05.544, 42:14:57.12) = (90.77310, 42.24920)   BPZ = 1.763 [0.160--2.583]   type = 11.00 (SB11_A_0_l)   stellarity = 0.08   chisq2 = 2.59   ODDS = 0.23   z_cluster = 0.228