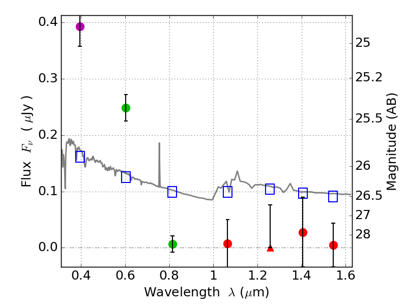
RXS0603+42-N IR detection object #5490

Color images and BPZ results
Catalog: 5490.cat
Black segments are analyzed here.   Roll mouse over color images to view segments.
Best viewed in a wide browser window (1200 pixels or more).   Download SED & P(z) plots to view larger versions.
In P(z) plots: Yellow lines mark the cluster redshift z = 0.228,  

Object #5490   x,y = (4069, 1689)   RA, Dec = (06:03:05.664, 42:14:58.92) = (90.77360, 42.24970)   BPZ = 1.700 [1.462--2.074]   type = 11.00 (SB11_A_0_l)   stellarity = 0.01   chisq2 = 24.91   ODDS = 0.60   z_cluster = 0.228