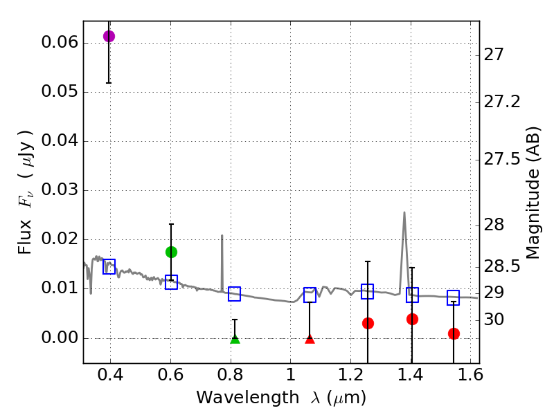
RXS0603+42-N IR detection object #5440

Color images and BPZ results
Catalog: 5440.cat
Black segments are analyzed here.   Roll mouse over color images to view segments.
Best viewed in a wide browser window (1200 pixels or more).   Download SED & P(z) plots to view larger versions.
In P(z) plots: Yellow lines mark the cluster redshift z = 0.228,  

Object #5440   x,y = (3322, 1724)   RA, Dec = (06:03:09.696, 42:15:01.08) = (90.79040, 42.25030)   BPZ = 1.763 [0.512--2.732]   type = 11.00 (SB11_A_0_l)   stellarity = 0.42   chisq2 = 8.32   ODDS = 0.25   z_cluster = 0.228