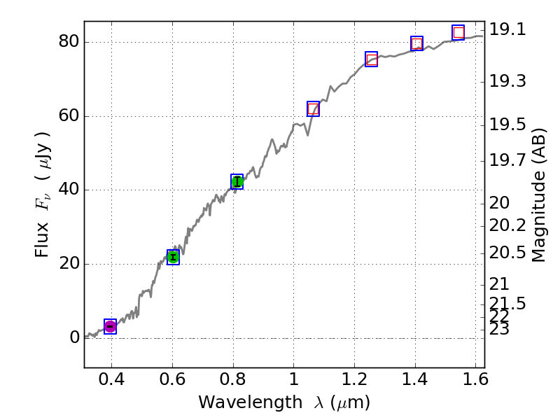
RXS0603+42-N IR detection object #5396

Color images and BPZ results
Catalog: 5396.cat
Black segments are analyzed here.   Roll mouse over color images to view segments.
Best viewed in a wide browser window (1200 pixels or more).   Download SED & P(z) plots to view larger versions.
In P(z) plots: Yellow lines mark the cluster redshift z = 0.228,  

Object #5396   x,y = (1495, 1722)   RA, Dec = (06:03:19.584, 42:15:01.08) = (90.83160, 42.25030)   BPZ = 0.226 [0.146--0.271]   type = 3.10 (Ell5_A_0 - Ell4_A_0)   stellarity = 0.13   chisq2 = 0.00   ODDS = 0.88   z_cluster = 0.228