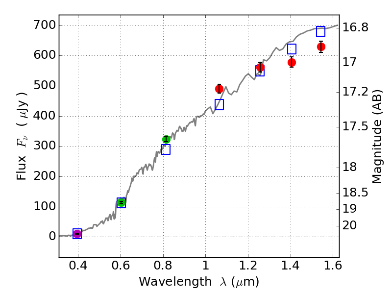
RXS0603+42-N IR detection object #5394

Color images and BPZ results
Catalog: 5394.cat
Black segments are analyzed here.   Roll mouse over color images to view segments.
Best viewed in a wide browser window (1200 pixels or more).   Download SED & P(z) plots to view larger versions.
In P(z) plots: Yellow lines mark the cluster redshift z = 0.228,  

Object #5394   x,y = (3139, 1682)   RA, Dec = (06:03:10.704, 42:14:58.56) = (90.79460, 42.24960)   BPZ = 0.452 [0.427--0.473]   type = 4.00 (Ell4_A_0)   stellarity = 0.85   chisq2 = 0.92   ODDS = 1.00   z_cluster = 0.228