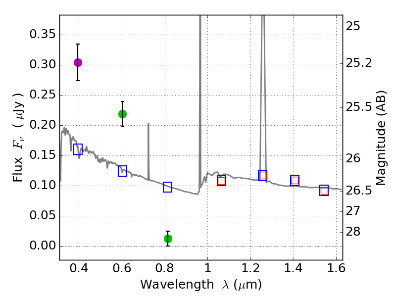
RXS0603+42-N IR detection object #5378

Color images and BPZ results
Catalog: 5378.cat
Black segments are analyzed here.   Roll mouse over color images to view segments.
Best viewed in a wide browser window (1200 pixels or more).   Download SED & P(z) plots to view larger versions.
In P(z) plots: Yellow lines mark the cluster redshift z = 0.228,  

Object #5378   x,y = (4116, 1701)   RA, Dec = (06:03:05.424, 42:14:59.64) = (90.77260, 42.24990)   BPZ = 1.595 [1.414--2.019]   type = 11.00 (SB11_A_0_l)   stellarity = 0.00   chisq2 = 63.43   ODDS = 0.50   z_cluster = 0.228