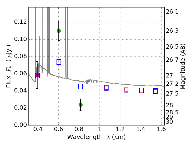
RXS0603+42-N IR detection object #5376

Color images and BPZ results
Catalog: 5376.cat
Black segments are analyzed here.   Roll mouse over color images to view segments.
Best viewed in a wide browser window (1200 pixels or more).   Download SED & P(z) plots to view larger versions.
In P(z) plots: Yellow lines mark the cluster redshift z = 0.228,  

Object #5376   x,y = (4136, 1694)   RA, Dec = (06:03:05.304, 42:14:59.28) = (90.77210, 42.24980)   BPZ = 0.025 [0.013--2.756]   type = 11.00 (SB11_A_0_l)   stellarity = 0.08   chisq2 = 15.33   ODDS = 0.35   z_cluster = 0.228