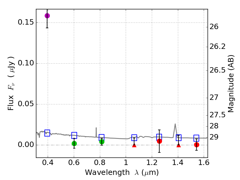
RXS0603+42-N IR detection object #5335

Color images and BPZ results
Catalog: 5335.cat
Black segments are analyzed here.   Roll mouse over color images to view segments.
Best viewed in a wide browser window (1200 pixels or more).   Download SED & P(z) plots to view larger versions.
In P(z) plots: Yellow lines mark the cluster redshift z = 0.228,  

Object #5335   x,y = (3739, 1761)   RA, Dec = (06:03:07.440, 42:15:03.24) = (90.78100, 42.25090)   BPZ = 1.763 [0.436--3.619]   type = 11.00 (SB11_A_0_l)   stellarity = 0.63   chisq2 = 23.70   ODDS = 0.21   z_cluster = 0.228