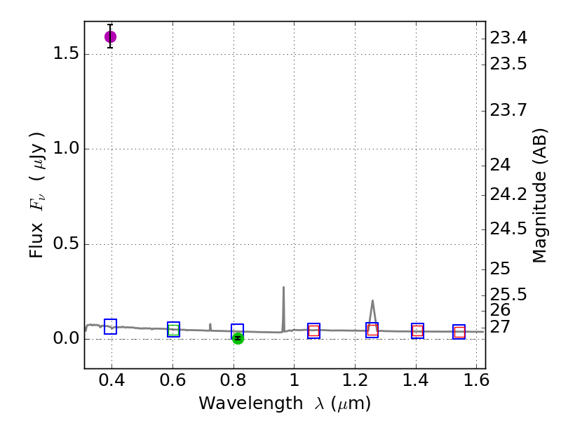
RXS0603+42-N IR detection object #5300

Color images and BPZ results
Catalog: 5300.cat
Black segments are analyzed here.   Roll mouse over color images to view segments.
Best viewed in a wide browser window (1200 pixels or more).   Download SED & P(z) plots to view larger versions.
In P(z) plots: Yellow lines mark the cluster redshift z = 0.228,  

Object #5300   x,y = (4430, 1768)   RA, Dec = (06:03:03.720, 42:15:03.60) = (90.76550, 42.25100)   BPZ = 1.595 [1.296--2.122]   type = 11.00 (SB11_A_0_l)   stellarity = 1.00   chisq2 = 642.60   ODDS = 0.40   z_cluster = 0.228