RXS0603+42-N IR detection object #5285

Color images and BPZ results
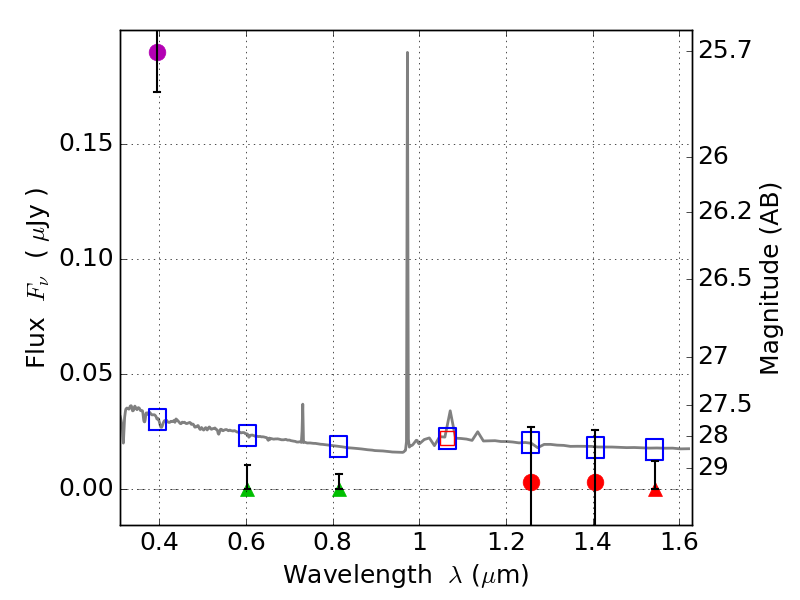
Catalog: 5285.cat
Black segments are analyzed here.   Roll mouse over color images to view segments.
Best viewed in a wide browser window (1200 pixels or more).   Download SED & P(z) plots to view larger versions.
In P(z) plots: Yellow lines mark the cluster redshift z = 0.228,  

Object #5285   x,y = (3158, 1770)   RA, Dec = (06:03:10.584, 42:15:03.96) = (90.79410, 42.25110)   BPZ = 1.612 [0.890--2.358]   type = 11.00 (SB11_A_0_l)   stellarity = 0.10   chisq2 = 32.31   ODDS = 0.32   z_cluster = 0.228