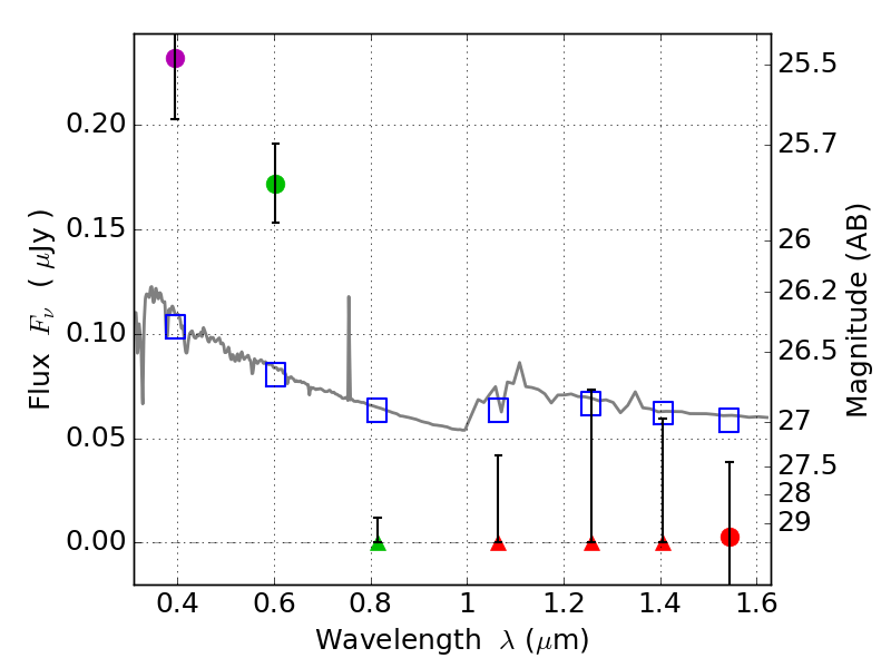
RXS0603+42-N IR detection object #5257

Color images and BPZ results
Catalog: 5257.cat
Black segments are analyzed here.   Roll mouse over color images to view segments.
Best viewed in a wide browser window (1200 pixels or more).   Download SED & P(z) plots to view larger versions.
In P(z) plots: Yellow lines mark the cluster redshift z = 0.228,  

Object #5257   x,y = (4066, 1739)   RA, Dec = (06:03:05.688, 42:15:02.16) = (90.77370, 42.25060)   BPZ = 1.700 [0.021--2.210]   type = 11.00 (SB11_A_0_l)   stellarity = 0.08   chisq2 = 16.50   ODDS = 0.48   z_cluster = 0.228