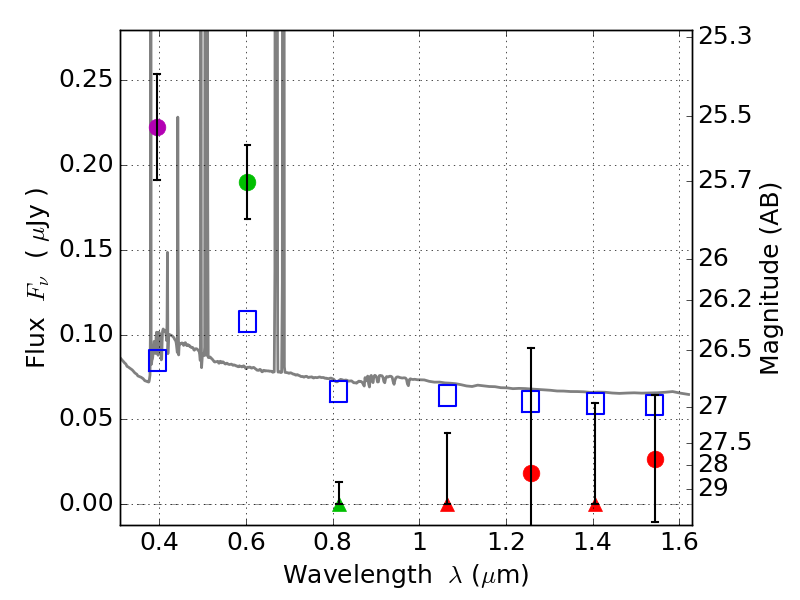
RXS0603+42-N IR detection object #5256

Color images and BPZ results
Catalog: 5256.cat
Black segments are analyzed here.   Roll mouse over color images to view segments.
Best viewed in a wide browser window (1200 pixels or more).   Download SED & P(z) plots to view larger versions.
In P(z) plots: Yellow lines mark the cluster redshift z = 0.228,  

Object #5256   x,y = (4071, 1765)   RA, Dec = (06:03:05.664, 42:15:03.60) = (90.77360, 42.25100)   BPZ = 0.023 [0.020--2.272]   type = 11.00 (SB11_A_0_l)   stellarity = 0.01   chisq2 = 13.80   ODDS = 0.08   z_cluster = 0.228