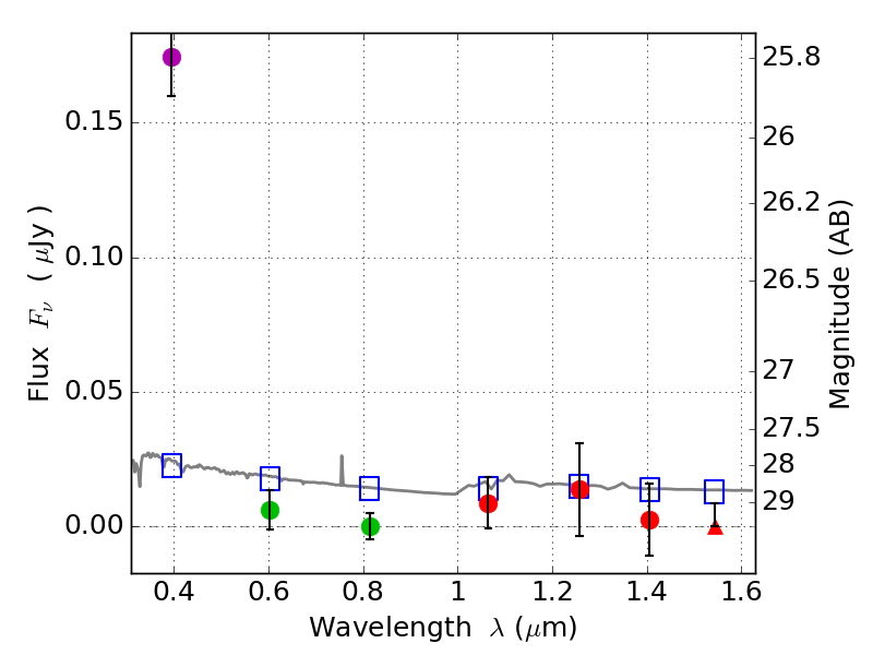
RXS0603+42-N IR detection object #5238

Color images and BPZ results
Catalog: 5238.cat
Black segments are analyzed here.   Roll mouse over color images to view segments.
Best viewed in a wide browser window (1200 pixels or more).   Download SED & P(z) plots to view larger versions.
In P(z) plots: Yellow lines mark the cluster redshift z = 0.228,  

Object #5238   x,y = (3776, 1785)   RA, Dec = (06:03:07.248, 42:15:04.68) = (90.78020, 42.25130)   BPZ = 1.701 [1.007--2.330]   type = 11.00 (SB11_A_0_l)   stellarity = 0.70   chisq2 = 29.74   ODDS = 0.41   z_cluster = 0.228