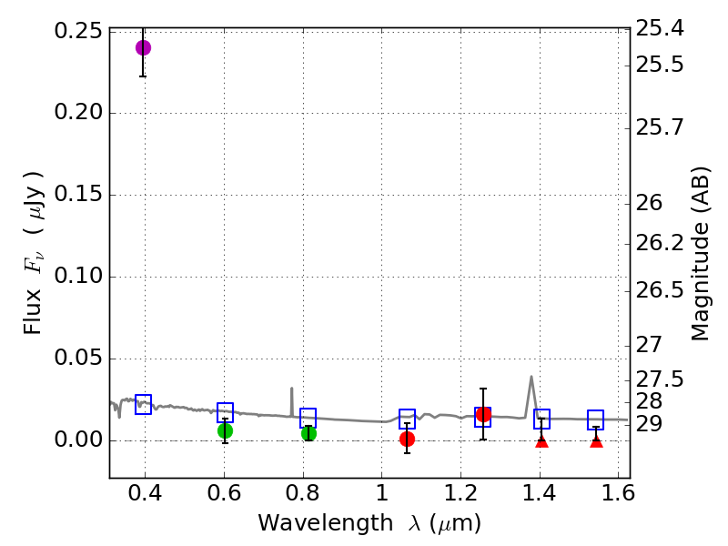
RXS0603+42-N IR detection object #5232

Color images and BPZ results
Catalog: 5232.cat
Black segments are analyzed here.   Roll mouse over color images to view segments.
Best viewed in a wide browser window (1200 pixels or more).   Download SED & P(z) plots to view larger versions.
In P(z) plots: Yellow lines mark the cluster redshift z = 0.228,  

Object #5232   x,y = (3762, 1788)   RA, Dec = (06:03:07.320, 42:15:05.04) = (90.78050, 42.25140)   BPZ = 1.763 [0.826--2.420]   type = 11.00 (SB11_A_0_l)   stellarity = 0.70   chisq2 = 38.69   ODDS = 0.35   z_cluster = 0.228