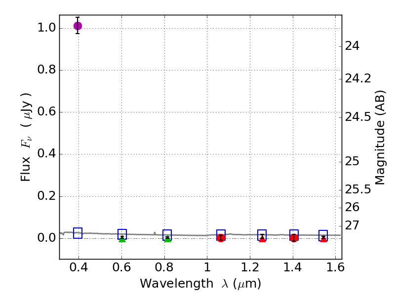
RXS0603+42-N IR detection object #5190

Color images and BPZ results
Catalog: 5190.cat
Black segments are analyzed here.   Roll mouse over color images to view segments.
Best viewed in a wide browser window (1200 pixels or more).   Download SED & P(z) plots to view larger versions.
In P(z) plots: Yellow lines mark the cluster redshift z = 0.228,  

Object #5190   x,y = (3591, 1808)   RA, Dec = (06:03:08.256, 42:15:06.12) = (90.78440, 42.25170)   BPZ = 1.700 [0.809--2.522]   type = 11.00 (SB11_A_0_l)   stellarity = 0.65   chisq2 = 168.00   ODDS = 0.34   z_cluster = 0.228