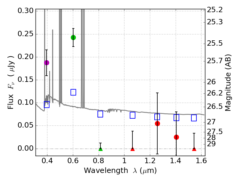
RXS0603+42-N IR detection object #5181

Color images and BPZ results
Catalog: 5181.cat
Black segments are analyzed here.   Roll mouse over color images to view segments.
Best viewed in a wide browser window (1200 pixels or more).   Download SED & P(z) plots to view larger versions.
In P(z) plots: Yellow lines mark the cluster redshift z = 0.228,  

Object #5181   x,y = (4021, 1847)   RA, Dec = (06:03:05.928, 42:15:08.64) = (90.77470, 42.25240)   BPZ = 0.021 [0.010--1.864]   type = 11.00 (SB11_A_0_l)   stellarity = 0.04   chisq2 = 18.79   ODDS = 0.92   z_cluster = 0.228