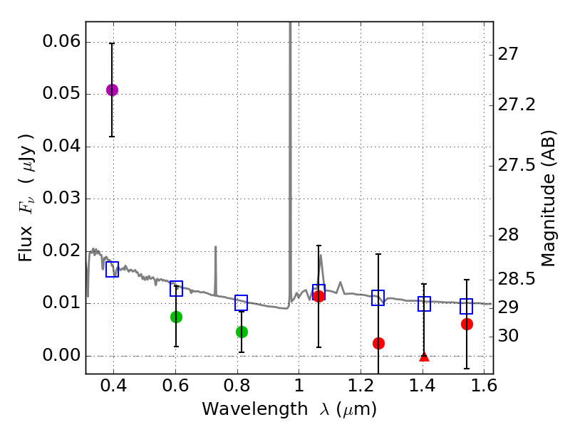
RXS0603+42-N IR detection object #5173

Color images and BPZ results
Catalog: 5173.cat
Black segments are analyzed here.   Roll mouse over color images to view segments.
Best viewed in a wide browser window (1200 pixels or more).   Download SED & P(z) plots to view larger versions.
In P(z) plots: Yellow lines mark the cluster redshift z = 0.228,  

Object #5173   x,y = (2499, 1814)   RA, Dec = (06:03:14.160, 42:15:06.48) = (90.80900, 42.25180)   BPZ = 1.612 [0.544--2.651]   type = 11.00 (SB11_A_0_l)   stellarity = 0.36   chisq2 = 4.56   ODDS = 0.20   z_cluster = 0.228