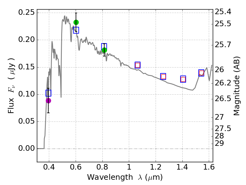
RXS0603+42-N IR detection object #5115

Color images and BPZ results
Catalog: 5115.cat
Black segments are analyzed here.   Roll mouse over color images to view segments.
Best viewed in a wide browser window (1200 pixels or more).   Download SED & P(z) plots to view larger versions.
In P(z) plots: Yellow lines mark the cluster redshift z = 0.228,  

Object #5115   x,y = (1488, 1829)   RA, Dec = (06:03:19.608, 42:15:07.56) = (90.83170, 42.25210)   BPZ = 3.042 [2.598--3.254]   type = 11.00 (SB11_A_0_l)   stellarity = 0.08   chisq2 = 0.79   ODDS = 0.82   z_cluster = 0.228