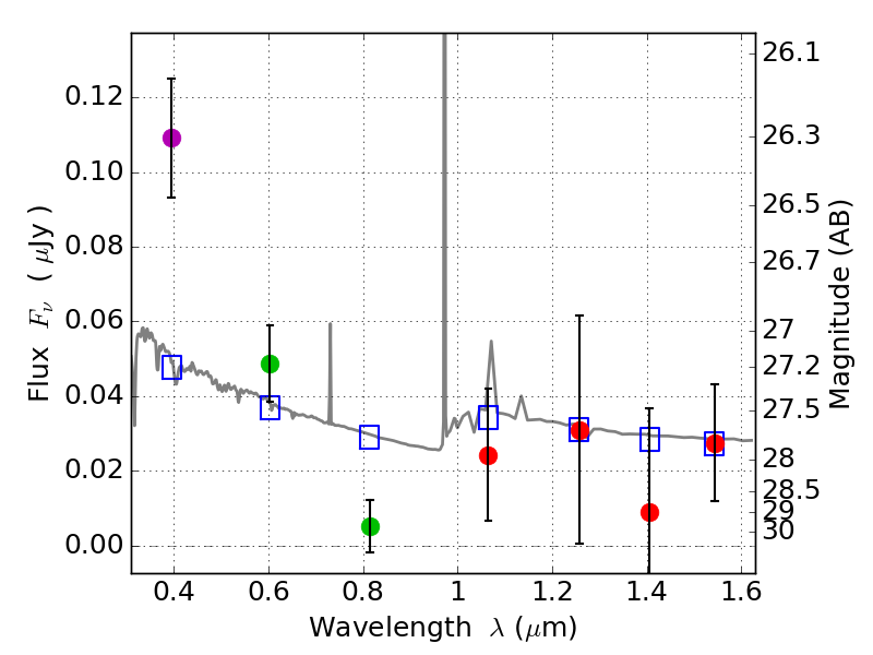
RXS0603+42-N IR detection object #5066

Color images and BPZ results
Catalog: 5066.cat
Black segments are analyzed here.   Roll mouse over color images to view segments.
Best viewed in a wide browser window (1200 pixels or more).   Download SED & P(z) plots to view larger versions.
In P(z) plots: Yellow lines mark the cluster redshift z = 0.228,  

Object #5066   x,y = (2847, 1845)   RA, Dec = (06:03:12.264, 42:15:08.28) = (90.80110, 42.25230)   BPZ = 1.611 [1.301--2.318]   type = 11.00 (SB11_A_0_l)   stellarity = 0.46   chisq2 = 6.46   ODDS = 0.33   z_cluster = 0.228