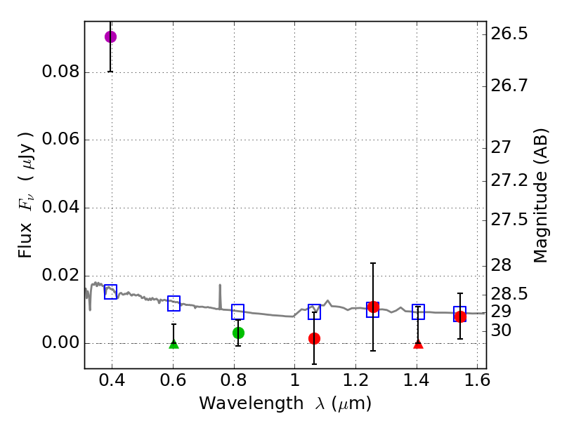
RXS0603+42-N IR detection object #5065

Color images and BPZ results
Catalog: 5065.cat
Black segments are analyzed here.   Roll mouse over color images to view segments.
Best viewed in a wide browser window (1200 pixels or more).   Download SED & P(z) plots to view larger versions.
In P(z) plots: Yellow lines mark the cluster redshift z = 0.228,  

Object #5065   x,y = (3239, 1845)   RA, Dec = (06:03:10.152, 42:15:08.28) = (90.79230, 42.25230)   BPZ = 1.699 [0.675--2.603]   type = 11.00 (SB11_A_0_l)   stellarity = 0.38   chisq2 = 15.02   ODDS = 0.23   z_cluster = 0.228