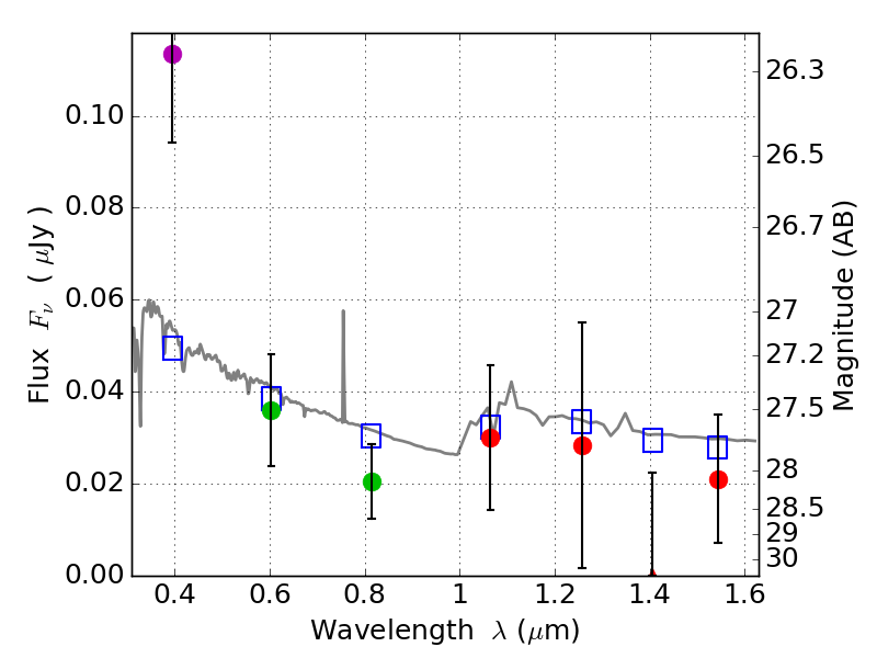
RXS0603+42-N IR detection object #5038

Color images and BPZ results
Catalog: 5038.cat
Black segments are analyzed here.   Roll mouse over color images to view segments.
Best viewed in a wide browser window (1200 pixels or more).   Download SED & P(z) plots to view larger versions.
In P(z) plots: Yellow lines mark the cluster redshift z = 0.228,  

Object #5038   x,y = (2982, 1889)   RA, Dec = (06:03:11.544, 42:15:11.16) = (90.79810, 42.25310)   BPZ = 1.703 [0.679--2.487]   type = 11.00 (SB11_A_0_l)   stellarity = 0.37   chisq2 = 3.51   ODDS = 0.32   z_cluster = 0.228