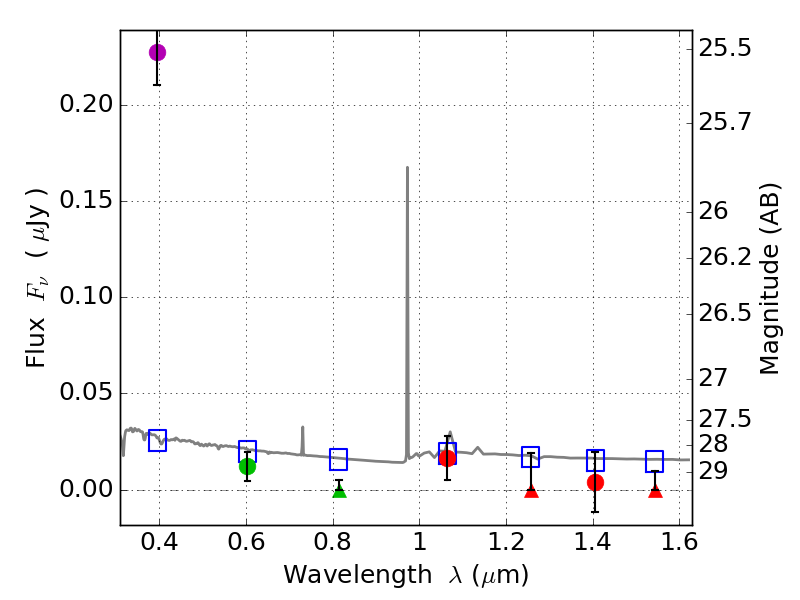
RXS0603+42-N IR detection object #5007

Color images and BPZ results
Catalog: 5007.cat
Black segments are analyzed here.   Roll mouse over color images to view segments.
Best viewed in a wide browser window (1200 pixels or more).   Download SED & P(z) plots to view larger versions.
In P(z) plots: Yellow lines mark the cluster redshift z = 0.228,  

Object #5007   x,y = (2376, 1864)   RA, Dec = (06:03:14.832, 42:15:09.36) = (90.81180, 42.25260)   BPZ = 1.612 [1.066--2.269]   type = 11.00 (SB11_A_0_l)   stellarity = 0.81   chisq2 = 36.35   ODDS = 0.36   z_cluster = 0.228