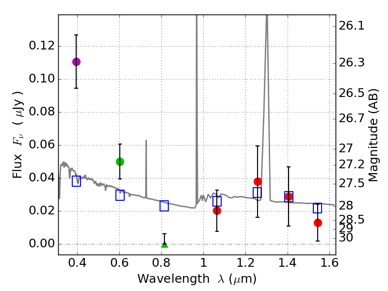
RXS0603+42-N IR detection object #5001

Color images and BPZ results
Catalog: 5001.cat
Black segments are analyzed here.   Roll mouse over color images to view segments.
Best viewed in a wide browser window (1200 pixels or more).   Download SED & P(z) plots to view larger versions.
In P(z) plots: Yellow lines mark the cluster redshift z = 0.228,  

Object #5001   x,y = (1839, 1864)   RA, Dec = (06:03:17.712, 42:15:09.72) = (90.82380, 42.25270)   BPZ = 1.599 [1.269--2.301]   type = 11.00 (SB11_A_0_l)   stellarity = 0.08   chisq2 = 8.99   ODDS = 0.35   z_cluster = 0.228