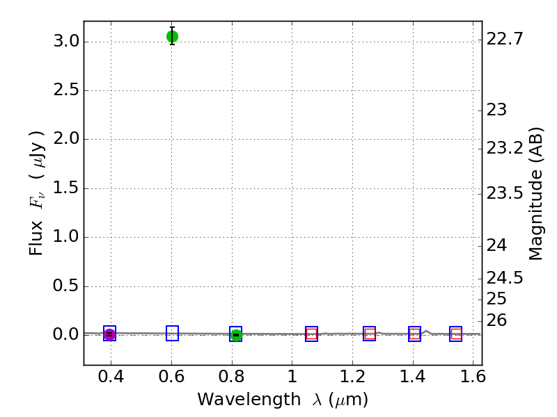
RXS0603+42-N IR detection object #494

Color images and BPZ results
Catalog: 494.cat
Black segments are analyzed here.   Roll mouse over color images to view segments.
Best viewed in a wide browser window (1200 pixels or more).   Download SED & P(z) plots to view larger versions.
In P(z) plots: Yellow lines mark the cluster redshift z = 0.228,  

Object #494   x,y = (2883, 3564)   RA, Dec = (06:03:12.072, 42:16:51.60) = (90.80030, 42.28100)   BPZ = 1.968 [0.349--5.676]   type = 11.00 (SB11_A_0_l)   stellarity = 0.67   chisq2 = 1116.00   ODDS = 0.10   z_cluster = 0.228