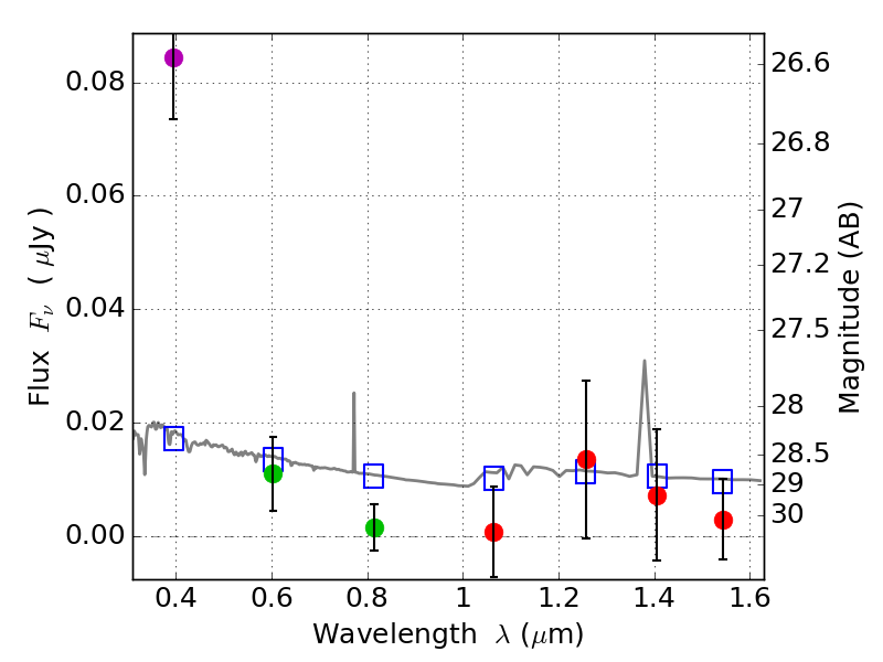
RXS0603+42-N IR detection object #4925

Color images and BPZ results
Catalog: 4925.cat
Black segments are analyzed here.   Roll mouse over color images to view segments.
Best viewed in a wide browser window (1200 pixels or more).   Download SED & P(z) plots to view larger versions.
In P(z) plots: Yellow lines mark the cluster redshift z = 0.228,  

Object #4925   x,y = (2523, 1894)   RA, Dec = (06:03:14.016, 42:15:11.52) = (90.80840, 42.25320)   BPZ = 1.761 [0.783--2.581]   type = 11.00 (SB11_A_0_l)   stellarity = 0.42   chisq2 = 11.06   ODDS = 0.29   z_cluster = 0.228