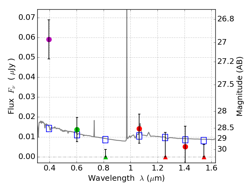
RXS0603+42-N IR detection object #4921

Color images and BPZ results
Catalog: 4921.cat
Black segments are analyzed here.   Roll mouse over color images to view segments.
Best viewed in a wide browser window (1200 pixels or more).   Download SED & P(z) plots to view larger versions.
In P(z) plots: Yellow lines mark the cluster redshift z = 0.228,  

Object #4921   x,y = (2532, 1896)   RA, Dec = (06:03:13.968, 42:15:11.52) = (90.80820, 42.25320)   BPZ = 1.613 [0.445--2.795]   type = 11.00 (SB11_A_0_l)   stellarity = 0.36   chisq2 = 7.14   ODDS = 0.23   z_cluster = 0.228