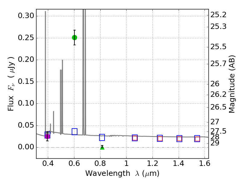
RXS0603+42-N IR detection object #492

Color images and BPZ results
Catalog: 492.cat
Black segments are analyzed here.   Roll mouse over color images to view segments.
Best viewed in a wide browser window (1200 pixels or more).   Download SED & P(z) plots to view larger versions.
In P(z) plots: Yellow lines mark the cluster redshift z = 0.228,  

Object #492   x,y = (2805, 3566)   RA, Dec = (06:03:12.504, 42:16:51.60) = (90.80210, 42.28100)   BPZ = 0.024 [0.012--2.770]   type = 11.00 (SB11_A_0_l)   stellarity = 0.55   chisq2 = 176.80   ODDS = 0.40   z_cluster = 0.228