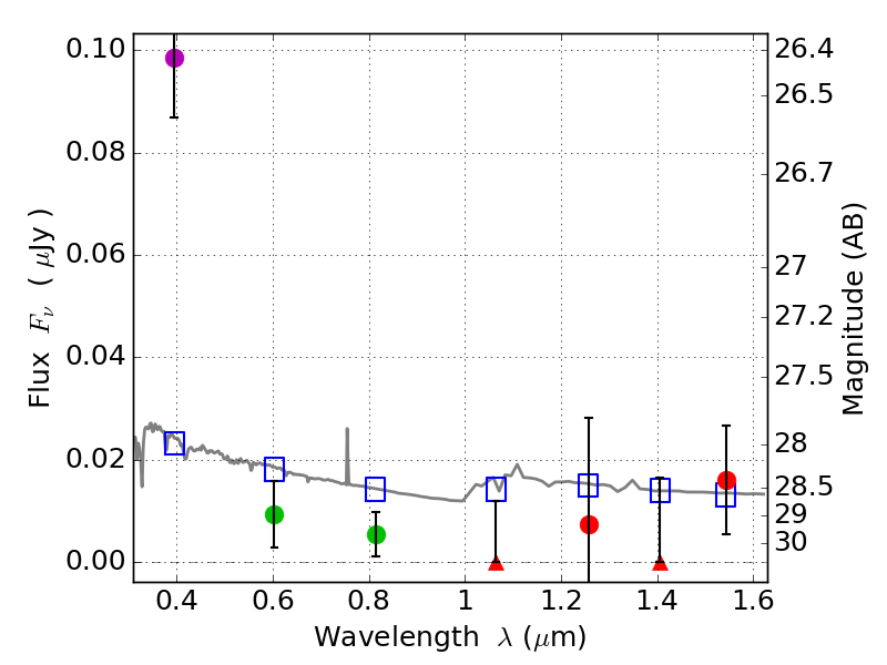
RXS0603+42-N IR detection object #4899

Color images and BPZ results
Catalog: 4899.cat
Black segments are analyzed here.   Roll mouse over color images to view segments.
Best viewed in a wide browser window (1200 pixels or more).   Download SED & P(z) plots to view larger versions.
In P(z) plots: Yellow lines mark the cluster redshift z = 0.228,  

Object #4899   x,y = (1740, 1904)   RA, Dec = (06:03:18.264, 42:15:11.88) = (90.82610, 42.25330)   BPZ = 1.700 [0.997--2.388]   type = 11.00 (SB11_A_0_l)   stellarity = 0.51   chisq2 = 11.94   ODDS = 0.27   z_cluster = 0.228