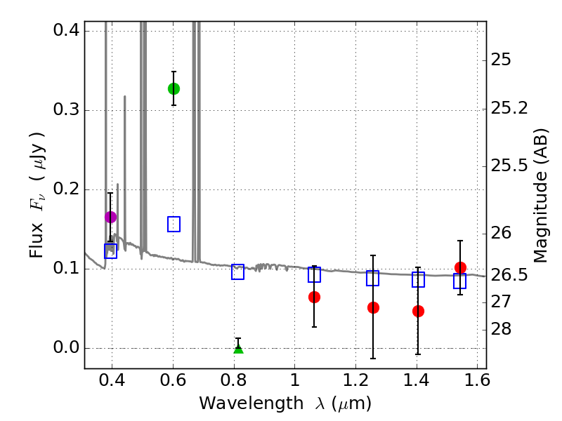
RXS0603+42-N IR detection object #4864

Color images and BPZ results
Catalog: 4864.cat
Black segments are analyzed here.   Roll mouse over color images to view segments.
Best viewed in a wide browser window (1200 pixels or more).   Download SED & P(z) plots to view larger versions.
In P(z) plots: Yellow lines mark the cluster redshift z = 0.228,  

Object #4864   x,y = (4029, 1863)   RA, Dec = (06:03:05.880, 42:15:09.36) = (90.77450, 42.25260)   BPZ = 0.019 [0.010--0.042]   type = 11.00 (SB11_A_0_l)   stellarity = 0.00   chisq2 = 22.95   ODDS = 1.00   z_cluster = 0.228