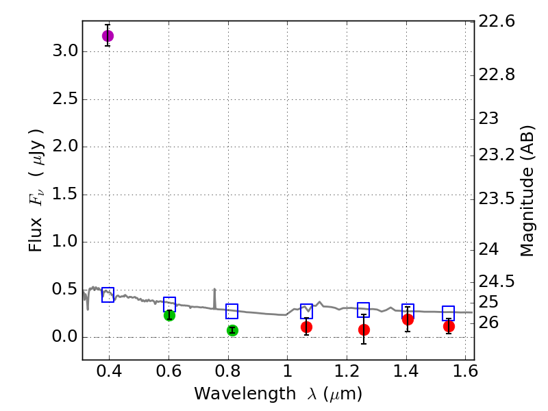
RXS0603+42-N IR detection object #4863

Color images and BPZ results
Catalog: 4863.cat
Black segments are analyzed here.   Roll mouse over color images to view segments.
Best viewed in a wide browser window (1200 pixels or more).   Download SED & P(z) plots to view larger versions.
In P(z) plots: Yellow lines mark the cluster redshift z = 0.228,  

Object #4863   x,y = (4039, 1888)   RA, Dec = (06:03:05.832, 42:15:10.80) = (90.77430, 42.25300)   BPZ = 1.699 [1.564--1.869]   type = 11.00 (SB11_A_0_l)   stellarity = 0.00   chisq2 = 145.80   ODDS = 0.81   z_cluster = 0.228