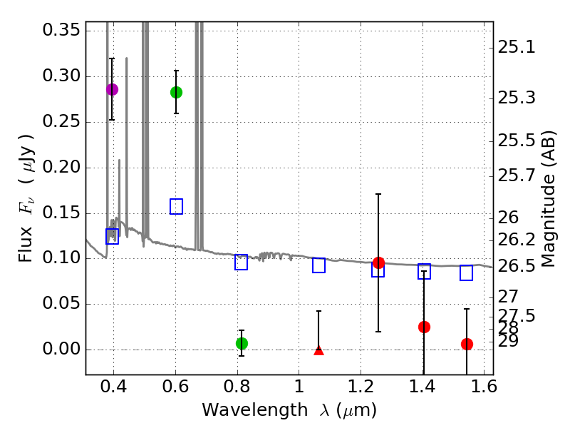
RXS0603+42-N IR detection object #4860

Color images and BPZ results
Catalog: 4860.cat
Black segments are analyzed here.   Roll mouse over color images to view segments.
Best viewed in a wide browser window (1200 pixels or more).   Download SED & P(z) plots to view larger versions.
In P(z) plots: Yellow lines mark the cluster redshift z = 0.228,  

Object #4860   x,y = (4039, 1826)   RA, Dec = (06:03:05.832, 42:15:07.20) = (90.77430, 42.25200)   BPZ = 0.020 [0.010--2.068]   type = 11.00 (SB11_A_0_l)   stellarity = 0.00   chisq2 = 20.09   ODDS = 0.57   z_cluster = 0.228