RXS0603+42-N IR detection object #4851

Color images and BPZ results
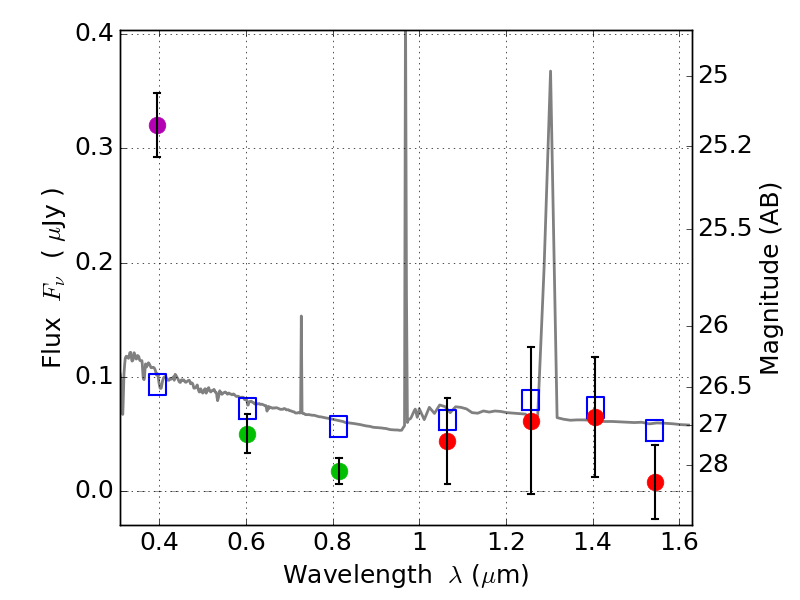
Catalog: 4851.cat
Black segments are analyzed here.   Roll mouse over color images to view segments.
Best viewed in a wide browser window (1200 pixels or more).   Download SED & P(z) plots to view larger versions.
In P(z) plots: Yellow lines mark the cluster redshift z = 0.228,  

Object #4851   x,y = (4002, 1883)   RA, Dec = (06:03:06.024, 42:15:10.80) = (90.77510, 42.25300)   BPZ = 1.601 [1.361--2.068]   type = 11.00 (SB11_A_0_l)   stellarity = 0.05   chisq2 = 18.69   ODDS = 0.46   z_cluster = 0.228