RXS0603+42-N IR detection object #4845

Color images and BPZ results
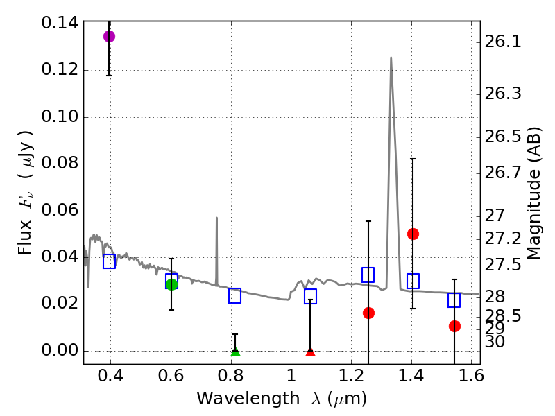
Catalog: 4845.cat
Black segments are analyzed here.   Roll mouse over color images to view segments.
Best viewed in a wide browser window (1200 pixels or more).   Download SED & P(z) plots to view larger versions.
In P(z) plots: Yellow lines mark the cluster redshift z = 0.228,  

Object #4845   x,y = (4010, 1850)   RA, Dec = (06:03:06.000, 42:15:08.64) = (90.77500, 42.25240)   BPZ = 1.694 [1.120--2.319]   type = 11.00 (SB11_A_0_l)   stellarity = 0.39   chisq2 = 10.72   ODDS = 0.36   z_cluster = 0.228