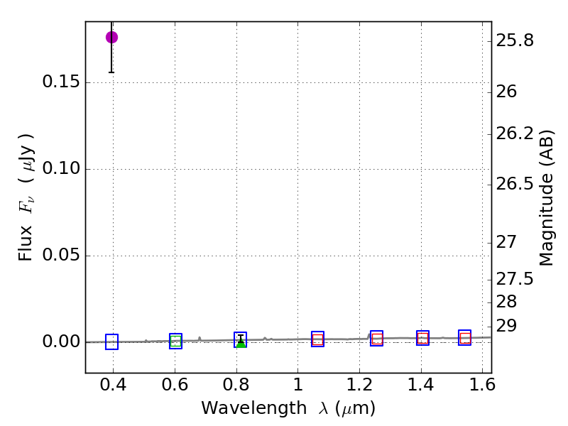
RXS0603+42-N IR detection object #4811

Color images and BPZ results
Catalog: 4811.cat
Black segments are analyzed here.   Roll mouse over color images to view segments.
Best viewed in a wide browser window (1200 pixels or more).   Download SED & P(z) plots to view larger versions.
In P(z) plots: Yellow lines mark the cluster redshift z = 0.228,  

Object #4811   x,y = (4484, 1920)   RA, Dec = (06:03:03.432, 42:15:12.96) = (90.76430, 42.25360)   BPZ = 0.357 [0.031--0.857]   type = 7.00 (Scd_B10)   stellarity = 0.64   chisq2 = 73.69   ODDS = 0.18   z_cluster = 0.228