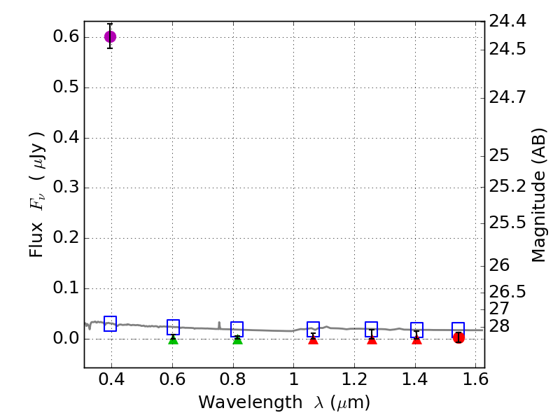
RXS0603+42-N IR detection object #4800

Color images and BPZ results
Catalog: 4800.cat
Black segments are analyzed here.   Roll mouse over color images to view segments.
Best viewed in a wide browser window (1200 pixels or more).   Download SED & P(z) plots to view larger versions.
In P(z) plots: Yellow lines mark the cluster redshift z = 0.228,  

Object #4800   x,y = (2527, 1925)   RA, Dec = (06:03:14.016, 42:15:13.32) = (90.80840, 42.25370)   BPZ = 1.700 [1.283--2.183]   type = 11.00 (SB11_A_0_l)   stellarity = 0.94   chisq2 = 144.10   ODDS = 0.50   z_cluster = 0.228