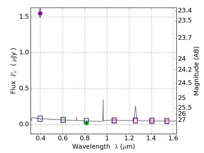
RXS0603+42-N IR detection object #4758

Color images and BPZ results
Catalog: 4758.cat
Black segments are analyzed here.   Roll mouse over color images to view segments.
Best viewed in a wide browser window (1200 pixels or more).   Download SED & P(z) plots to view larger versions.
In P(z) plots: Yellow lines mark the cluster redshift z = 0.228,  

Object #4758   x,y = (4483, 1938)   RA, Dec = (06:03:03.432, 42:15:14.04) = (90.76430, 42.25390)   BPZ = 1.594 [1.360--1.996]   type = 11.00 (SB11_A_0_l)   stellarity = 0.99   chisq2 = 691.80   ODDS = 0.49   z_cluster = 0.228