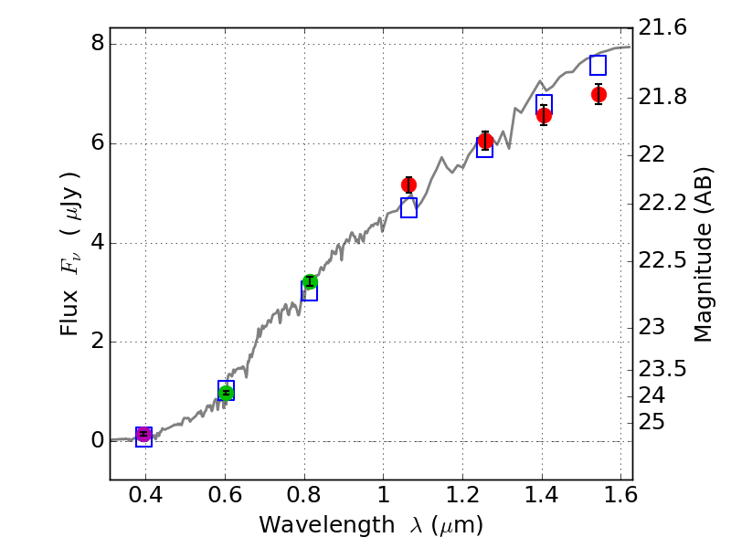
RXS0603+42-N IR detection object #4733

Color images and BPZ results
Catalog: 4733.cat
Black segments are analyzed here.   Roll mouse over color images to view segments.
Best viewed in a wide browser window (1200 pixels or more).   Download SED & P(z) plots to view larger versions.
In P(z) plots: Yellow lines mark the cluster redshift z = 0.228,  

Object #4733   x,y = (2079, 1894)   RA, Dec = (06:03:16.416, 42:15:11.52) = (90.81840, 42.25320)   BPZ = 0.523 [0.481--0.556]   type = 4.00 (Ell4_A_0)   stellarity = 0.53   chisq2 = 0.56   ODDS = 0.99   z_cluster = 0.228