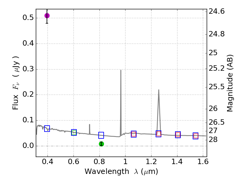
RXS0603+42-N IR detection object #4728

Color images and BPZ results
Catalog: 4728.cat
Black segments are analyzed here.   Roll mouse over color images to view segments.
Best viewed in a wide browser window (1200 pixels or more).   Download SED & P(z) plots to view larger versions.
In P(z) plots: Yellow lines mark the cluster redshift z = 0.228,  

Object #4728   x,y = (4563, 1989)   RA, Dec = (06:03:03.000, 42:15:16.92) = (90.76250, 42.25470)   BPZ = 1.594 [1.345--2.029]   type = 11.00 (SB11_A_0_l)   stellarity = 0.98   chisq2 = 224.40   ODDS = 0.46   z_cluster = 0.228