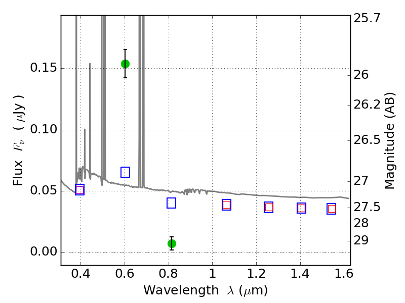
RXS0603+42-N IR detection object #4717

Color images and BPZ results
Catalog: 4717.cat
Black segments are analyzed here.   Roll mouse over color images to view segments.
Best viewed in a wide browser window (1200 pixels or more).   Download SED & P(z) plots to view larger versions.
In P(z) plots: Yellow lines mark the cluster redshift z = 0.228,  

Object #4717   x,y = (1284, 1953)   RA, Dec = (06:03:20.712, 42:15:14.76) = (90.83630, 42.25410)   BPZ = 0.021 [0.010--0.061]   type = 11.00 (SB11_A_0_l)   stellarity = 0.94   chisq2 = 75.62   ODDS = 0.98   z_cluster = 0.228