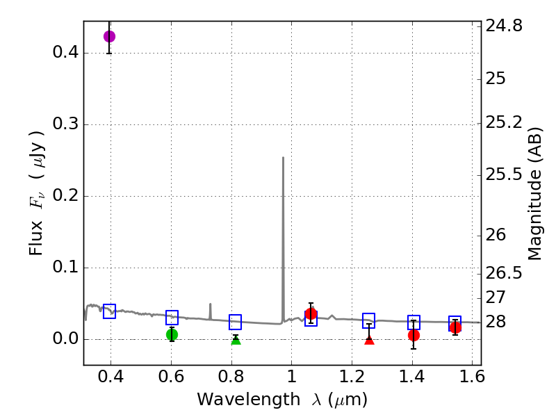
RXS0603+42-N IR detection object #4716

Color images and BPZ results
Catalog: 4716.cat
Black segments are analyzed here.   Roll mouse over color images to view segments.
Best viewed in a wide browser window (1200 pixels or more).   Download SED & P(z) plots to view larger versions.
In P(z) plots: Yellow lines mark the cluster redshift z = 0.228,  

Object #4716   x,y = (3351, 1953)   RA, Dec = (06:03:09.552, 42:15:14.76) = (90.78980, 42.25410)   BPZ = 1.612 [1.211--2.113]   type = 11.00 (SB11_A_0_l)   stellarity = 0.66   chisq2 = 66.69   ODDS = 0.44   z_cluster = 0.228