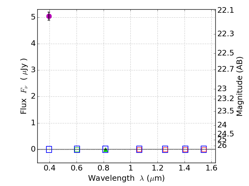
RXS0603+42-N IR detection object #4686

Color images and BPZ results
Catalog: 4686.cat
Black segments are analyzed here.   Roll mouse over color images to view segments.
Best viewed in a wide browser window (1200 pixels or more).   Download SED & P(z) plots to view larger versions.
In P(z) plots: Yellow lines mark the cluster redshift z = 0.228,  

Object #4686   x,y = (4534, 1958)   RA, Dec = (06:03:03.168, 42:15:15.12) = (90.76320, 42.25420)   BPZ = 0.358 [0.030--0.857]   type = 7.00 (Scd_B10)   stellarity = 0.91   chisq2 = 1098.00   ODDS = 0.18   z_cluster = 0.228