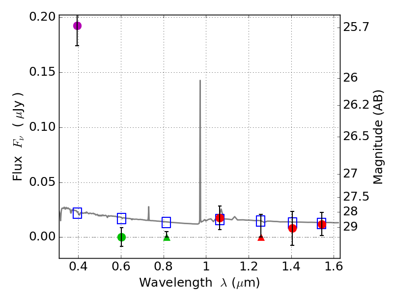
RXS0603+42-N IR detection object #4678

Color images and BPZ results
Catalog: 4678.cat
Black segments are analyzed here.   Roll mouse over color images to view segments.
Best viewed in a wide browser window (1200 pixels or more).   Download SED & P(z) plots to view larger versions.
In P(z) plots: Yellow lines mark the cluster redshift z = 0.228,  

Object #4678   x,y = (3260, 1969)   RA, Dec = (06:03:10.032, 42:15:15.84) = (90.79180, 42.25440)   BPZ = 1.612 [0.744--2.694]   type = 11.00 (SB11_A_0_l)   stellarity = 0.52   chisq2 = 24.20   ODDS = 0.23   z_cluster = 0.228