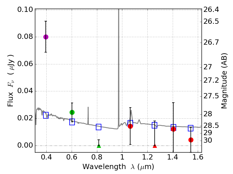
RXS0603+42-N IR detection object #4665

Color images and BPZ results
Catalog: 4665.cat
Black segments are analyzed here.   Roll mouse over color images to view segments.
Best viewed in a wide browser window (1200 pixels or more).   Download SED & P(z) plots to view larger versions.
In P(z) plots: Yellow lines mark the cluster redshift z = 0.228,  

Object #4665   x,y = (2198, 1976)   RA, Dec = (06:03:15.768, 42:15:16.20) = (90.81570, 42.25450)   BPZ = 1.612 [1.045--2.429]   type = 11.00 (SB11_A_0_l)   stellarity = 0.46   chisq2 = 9.28   ODDS = 0.31   z_cluster = 0.228