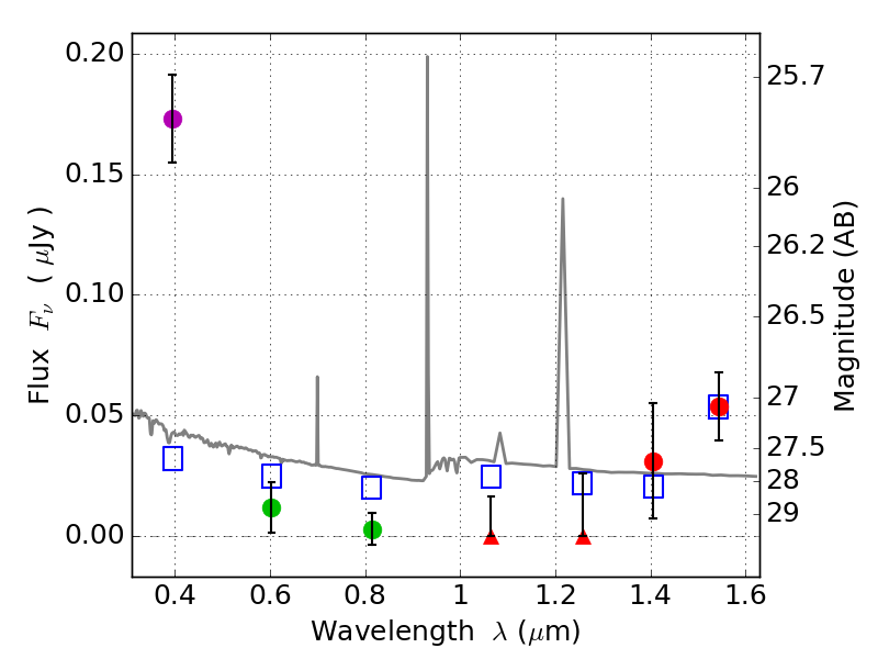
RXS0603+42-N IR detection object #4663

Color images and BPZ results
Catalog: 4663.cat
Black segments are analyzed here.   Roll mouse over color images to view segments.
Best viewed in a wide browser window (1200 pixels or more).   Download SED & P(z) plots to view larger versions.
In P(z) plots: Yellow lines mark the cluster redshift z = 0.228,  

Object #4663   x,y = (2336, 1990)   RA, Dec = (06:03:15.048, 42:15:17.28) = (90.81270, 42.25480)   BPZ = 1.498 [1.163--2.271]   type = 11.00 (SB11_A_0_l)   stellarity = 0.46   chisq2 = 16.55   ODDS = 0.31   z_cluster = 0.228